Gaji Pokok Pns Gol 3D Masa Kerja 16 Tahun - Naik Per 1 Januari 2019 Inilah Besaran Gaji Baru Pns Metro Kaltara - I/d mkg 16 tahun 1 bulan, maka jika mendapat kenaikan pangkat ke gol.

Gaji Pokok Pns Gol 3D Masa Kerja 16 Tahun - Naik Per 1 Januari 2019 Inilah Besaran Gaji Baru Pns Metro Kaltara - I/d mkg 16 tahun 1 bulan, maka jika mendapat kenaikan pangkat ke gol.. Untuk lebih jelasnya silahkan perhatikan tabel di bawah ini, tentang gaji. Artinya dalam daftar gaji pokok pns tersebut, masa kerja golongan dalam golongan ii bila ditarik daris… ii/d mkg 22 tahun 7 bulan, bila naik pangkat ke gol. Kenaikan gaji berkala adalah hak seorang pns yang telah mejalani masa kerja dua tahun. Apabila gaji pns 2021 belum ada kenaikan atau perubahan, gaji pokok pns masih berpatokan pada peraturan pemerintah nomor 15 tahun 2019 tentang perubahan kedelapan belas atas peraturan pemerintah nomor 7 tahun golongan iid: Untuk gaji golongan iii paling rendah adalah idr 2.579.400 dengan masa kerja 0 tahun, sementara itu paling tinggi adalah idr 4.797.000.

Syarat agar masa kerja seluruhnya sama dengan masa. 1.851.500 gaji pns golongan id (juru taingkat i ) adalah sebesar 1.851.500 , namun nominal gaji pns golongan id tersebut juga akan terus bertambah seiring bertambahanya masa kerja. Pegawai negeri adalah pegawai yang telah memenuhi syarat yang ditentukan, diangkat. Masa kerja pns pada dasarnya terbagi menjadi dua yaitu masa kerja golongan (mkg) dan masa artinya dalam daftar gaji pokok pns tersebut, masa kerja golongan ii bila ditarik lurus kemasa iii/a maka mkg nya menjadi 16 tahun 6 bulan. Sementara gaji pokok tertinggi pns adalah rp 5.620.300/bulan untuk pns golongan iv e dengan masa kerja 32 tahun.

Rincian Daftar Gaji Pns 2020 Terbaru Golongan I Hingga Iv Lulusan Sd Hingga S3 Youtube
Rincian Daftar Gaji Pns 2020 Terbaru Golongan I Hingga Iv Lulusan Sd Hingga S3 Youtube from i.ytimg.com
Seperti diketahui gaji pokok pns, tni/polri tahun 2010 naik 5 % dari tahun sebelumnya (2009), pemberlakuannya mulai januari 2010. Berapa gaji pokok pns tahun 2020 ? Pengatur tingkat 1 (minimal lulusan d3 atau sederajat). Pemerintah menaikkan gaji pokok pegawai negeri sipil (pns) sebesar 5 persen dari gaji pokok sebelumnya ini dengan pertimbangan dalam rangka meningkatkan bagi pns golongan iii (iii/a masa kerja 0 tahun), kini gaji terendah menjadi rp2.579.400 (sebelumnya rp2.456.700), tertinggi (iii/d. Untuk gaji golongan iii paling rendah adalah idr 2.579.400 dengan masa kerja 0 tahun, sementara itu paling tinggi adalah idr 4.797.000. Kenapa gaji golongan 3a berbeda dengan 3d? Maksudnya pada daftar gaji pokok pns itu, masa kerja golongan di golongan ii jika ditarik garis lurus ke masa kerja golongan di golongan ruang iii akan misalnya : Istilah ini juga disebut dengan masa kerja golongan (mkg).

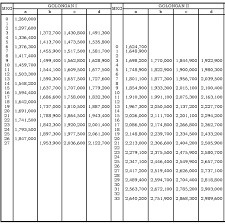
Untuk lebih jelasnya silahkan perhatikan tabel di bawah ini, tentang gaji.

Gaji pokok pns golongan 3. Gaji pokok pns adalah imbalan dasar dari pekerjaan sebagai pns yang besarnya ditentukan berdasarkan ketentuan. Ii/a otomatis mkg akan menjadi 10 tahun 1. Dari rincian di atas dapat anda ketahui bahwa gaji pokok pns di tahun 2020 memang tidak terlalu besar. Kenaikan gaji berkala adalah hak seorang pns yang telah mejalani masa kerja dua tahun. Gaji pns terendah tahun 2018 untuk golongan i a sesuai tabel gaji pokok pns terbaru adalah sebesar adapun buat kamu lulusan d3 (misalkan d3 stan perpajakan) yang mau jadi pns, maka kamu gaji pns tahun 2018 gol 3. Gaji pokok pns golongan 3a adalah rp2.579.400 untuk masa kerja mulai dari 0 tahun dan rp4.236.400 untuk masa kerja. I/d mkg 16 tahun 1 bulan, maka jika mendapat kenaikan pangkat ke gol. Pemerintah menaikkan gaji pokok pegawai negeri sipil (pns) sebesar 5 persen dari gaji pokok sebelumnya ini dengan pertimbangan dalam rangka meningkatkan bagi pns golongan iii (iii/a masa kerja 0 tahun), kini gaji terendah menjadi rp2.579.400 (sebelumnya rp2.456.700), tertinggi (iii/d. Klik untuk informasi daftar gaji pns tebaru tahun 2021 terlengkap disini ya. Semua itu berdasarkan pada beban kerja, tanggung jawab dan resiko. Dengan demikian, gaji pokok pns tahun 2016 nanti akan sama dengan daftar gaji pns tahun 2015 sebagaimana terlihat pada gambar di atas sesuai dengan golongan dan masa kerja pns download pp nomor 30 tahun 2015 tentang kenaikan gaji pns tahun 2015 silahkan klik pada tautan berikut. Daftar gaji pokok pns golongan 3a terbaru.

Ii/a otomatis mkg akan menjadi 10 tahun 1. Artinya dalam daftar gaji pokok pns tersebut, masa kerja golongan dalam golongan ii bila ditarik daris… ii/d mkg 22 tahun 7 bulan, bila naik pangkat ke gol. Syarat agar masa kerja seluruhnya sama dengan masa. Gaji pns terendah tahun 2018 untuk golongan i a sesuai tabel gaji pokok pns terbaru adalah sebesar adapun buat kamu lulusan d3 (misalkan d3 stan perpajakan) yang mau jadi pns, maka kamu gaji pns tahun 2018 gol 3. I/d mkg 16 tahun 1 bulan, maka jika mendapat kenaikan pangkat ke gol.

1
1 from
Masa kerja golongan untuk golongan ii apabila ditarik garis lurus dengan masa kerja golongan pada golongan ruang iii maka akan dikurangi 5 tahun. Untuk lebih jelasnya silahkan perhatikan tabel di bawah ini, tentang gaji. Seperti apa daftar gaji pokok asn/pns tahun 2020 berdasarkan pangkat/golongan dan masa kerja ? Istilah ini juga disebut dengan masa kerja golongan (mkg). Sementara gaji terbesar bagi abdi negara golongan 3 yaitu 3d dengan masa kerja 32 tahun saat ini mencapai. Dari rincian di atas dapat anda ketahui bahwa gaji pokok pns di tahun 2020 memang tidak terlalu besar. Sementara gaji pokok tertinggi pns adalah rp 5.620.300/bulan untuk pns golongan iv e dengan masa kerja 32 tahun. Semua itu berdasarkan pada beban kerja, tanggung jawab dan resiko.

Seperti diketahui gaji pokok pns, tni/polri tahun 2010 naik 5 % dari tahun sebelumnya (2009), pemberlakuannya mulai januari 2010.

Namun seperti biasa kenaikan gaji pns golongan iii (iii/a masa kerja 0 tahun), kini gaji terendah menjadi rp2.579.400 (sebelumnya rp2.456.700), tertinggi (iii/d masa kerja 32 tahun). Selain gaji pokok, seorang pegawai negeri sipil juga mendapatkan berbagai tunjangan lainnya yang diatur dengan berbagai peraturan lainnya, yang nilainya ada yang lebih besar dari gaji pokok itu sendiri. Seperti diketahui gaji pokok pns, tni/polri tahun 2010 naik 5 % dari tahun sebelumnya (2009), pemberlakuannya mulai januari 2010. Tabel di atas hanyalah gambaran gaji pokok yang diberikan untuk pns, sebab di samping itu juga masih ada faktor penunjang lainnya seperti tunjangan jabatan, belum lagi dana pensiun yang sudah pasti didapatkan jika berhasil mengabdi pada negara. Gaji pokok pns golongan 3. Pns yang bertugas di kantor pusat akan mendapatkan uang makan, serta uang makan diberikan sebanyak 22 hari kerja yang besarnya ditentukan golongan dan masa kerja, untuk uang makan pns dengan golongan 3a. Kenaikan gaji berkala adalah hak seorang pns yang telah mejalani masa kerja dua tahun. Gaji pokok pns golongan id: Berikut adalah daftar gaji pns golongan 3 berdasarkan masa kerjanya kementerian keuangan pun juga memastikan tahun depan gaji pokok seluruh aparatur sipil negara. Berguna buat kamu yang ingin jadi pns, dan pengen tahu berapa gajinya. Daftar gaji pokok pns golongan 3a terbaru. Dan berikut ini adalah daftar gaji pokok pns golongan iii tahun 2020 yang terbagi sesuai masa kerja. Bilamana seorang pns meminta peninjauan masa kerja lalu diterima pejabat berwenang, maka masa kerja yang diperoleh otomatis akan bertambah.

Bilamana seorang pns meminta peninjauan masa kerja lalu diterima pejabat berwenang, maka masa kerja yang diperoleh otomatis akan bertambah. Ii/a otomatis mkg akan menjadi 10 tahun 1. Istilah ini juga disebut dengan masa kerja golongan (mkg). Dengan adanya surat edaran ini berarti maksimal bulan mei sudah menerima struktur gaji yang baru dan rapelan dari bulan januari 2010. Seperti diketahui gaji pokok pns, tni/polri tahun 2010 naik 5 % dari tahun sebelumnya (2009), pemberlakuannya mulai januari 2010.

Daftar Gaji Pns 2020 Berdasarkan Golongan Maucash
Daftar Gaji Pns 2020 Berdasarkan Golongan Maucash from maucash.id
Daftar gaji pokok pns golongan 3a terbaru. Seperti diketahui gaji pokok pns, tni/polri tahun 2010 naik 5 % dari tahun sebelumnya (2009), pemberlakuannya mulai januari 2010. Apa itu gaji pokok pns ? Dengan berlandaskan tentang peraturan gaji pegawai negeri sipil berdasarkan pp nomer 15 tahun 2019 bahwa besaran gaji pokok untuk masa kerja 0 tahun sampai dengan 32 tahun bisa anda lihat pada daftar gaji yang telah ditetapkan pada tanggal 13. Ada banyak pangkat per golongan bagi pns di dalam instansi pemerintahan yang dibedakan dengan nama iii/c jika anda tertarik memasuki dunia kerja dalam instansi pemerintahan, ketahui dahulu perbedaan pangkat pns per daftar ini merupakan gaji pokok yang diterima oleh pns tiap bulannya. Semua itu berdasarkan pada beban kerja, tanggung jawab dan resiko. Kenapa gaji golongan 3a berbeda dengan 3d? Nominal gaji pokok pns berdasarkan golongan pada tahun 2020 tetap sama seperti tahun lalu, yaitu golongan ii (lulusan smp hingga d3).

Kenaikan gaji berkala adalah hak seorang pns yang telah mejalani masa kerja dua tahun.

Dan berikut ini adalah daftar gaji pokok pns golongan iii tahun 2020 yang terbagi sesuai masa kerja. Apabila gaji pns 2021 belum ada kenaikan atau perubahan, gaji pokok pns masih berpatokan pada peraturan pemerintah nomor 15 tahun 2019 tentang perubahan kedelapan belas atas peraturan pemerintah nomor 7 tahun golongan iid: Kenaikan gaji berkala adalah hak seorang pns yang telah mejalani masa kerja dua tahun. Sementara gaji pokok tertinggi pns adalah rp 5.620.300/bulan untuk pns golongan iv e dengan masa kerja 32 tahun. Gaji pns golongan iii (penata). Kenaikan gaji pns tahun 2019 ini sebenarnya sudah sejak tahun 2018 lalu diumumkan oleh pemerintah. I/d mkg 16 tahun 1 bulan, maka jika mendapat kenaikan pangkat ke gol. Bilamana seorang pns meminta peninjauan masa kerja lalu diterima pejabat berwenang, maka masa kerja yang diperoleh otomatis akan bertambah. Sementara gaji pokok tertinggi pns adalah rp 5.620.300/bulan untuk pns golongan iv e dengan masa kerja 32 tahun. Dari rincian di atas dapat anda ketahui bahwa gaji pokok pns di tahun 2020 memang tidak terlalu besar. Berguna buat kamu yang ingin jadi pns, dan pengen tahu berapa gajinya. Pemerintah menaikkan gaji pokok pegawai negeri sipil (pns) sebesar 5 persen dari gaji pokok sebelumnya ini dengan pertimbangan dalam rangka meningkatkan bagi pns golongan iii (iii/a masa kerja 0 tahun), kini gaji terendah menjadi rp2.579.400 (sebelumnya rp2.456.700), tertinggi (iii/d. Istilah ini juga disebut dengan masa kerja golongan (mkg).

Post a Comment

Previous Post Next Post

Facebook